Chào các bác tình hình đang xử lý tín hiệu cho thermister 100k. Em tìm được phương trình chung để đưa tín hiệu áp về PLC, rồi từ đó hiện thị ra nhiệt độ hiện tại của đầu nhiệt. Nhưng em không bít xử lý công thức này trong PLC như thế nào. Em dùng con Fx3u ạ.
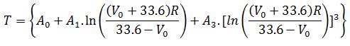
Trong đó A0, A1, A2 em đã tính ra các số cụ thể.
R:điện trở của thermister tại 0 độ, số này thì có thể tra trong bảng thống kê.
V0: áp đọc về modul analog, số này cũng là số cụ thể tại thời điểm cần đo.
Vấn đề là em không bít làm sao để PLC tự tín và đưa số liệu ra HMI.
